
CPU의 작동 원리
CPU는 메모리에 저장된 명령어를 읽어 들이고, 해석하고, 실행하는 장치이다.
CPU 내부에는 계산을 담당하는 ALU, 명령어를 읽어 들이고 해석하는 제어장치, 작은 임시 저장 장치인 레지스터가 있다.
ALU와 제어 장치
ALU는 계산하는 장치, 제어장치는 제어 신호를 발생시키고 명령어를 해석하는 장치이다.
제어 신호는 컴퓨터 부품들을 관리하고 작동시키기 위한 일종의 전기 신호이다.
ALU와 제어장치가 내보내고 받아들이는 정보는 무엇일까?
ALU

ALU가 받아들이고 내보내는 정보들
ALU가 받아들이는 정보
- 레지스터를 통해 피연산자를 받아들인다. 예) 1, 2
- 제어장치로부터 수행할 연산을 알려주는 제어 신호를 받아들인다. 예) 더하기, +
- ALU는 레지스터와 제어장치로부터 받아들인 피연산자와 제어 신호로 산술 연산, 논리 연산 등 다양한 연산을 수행한다.
ALU가 내보내는 정보
- 연산을 수행한 결과는 특정 숫자나 문자가 될 수 있고, 메모리 주소가 될 수도 있다.
- 결괏값은 바로 메모리에 저장되지 않고, 일시적으로 레지스터에 저장된다.
- 왜 레지스터에 저장할까? CPU가 레지스터에 접근하는 속도가 메모리에 접근하는 속도보다 더 빠르기 때문이다.
- 계산 결과와 더불어 플래그를 내보낸다.
플래그
- 플래그는 연산 결과에 대한 추가적인 상태 정보이다. 연산 결과에 대한 부가 정보이다.
- 이진수가 음수인지 양수인지를 구분하기 위해 플래그를 사용한다.
- 예시) 연산 결과가 음수, 연산 결과가 0, 연산 결과가 너무 크다(오버플로우)
참고: 연산 결과가 연산 결과를 담을 레지스터보다 큰 상황을 오버플로우(overflow)라 한다.

대표적인 플래그 종류
- 플래그들은 플래그 레지스터라는 레지스터에 저장된다.
- 플래그 레지스터는 플래그 값들을 저장하는 레지스터이다.
- 예시)

부호 플래그가 1이어서 연산 결과는 음수임을 알 수 있다.

제로 플래그가 1이어서 연산 결과는 0임을 알 수 있다.
제어장치

제어장치가 받아들이는 정보
- 제어장치는 클럭 신호를 받아들인다.
- 클럭이란 컴퓨터의 모든 부품을 일사불란하게 움직일 수 있게 하는 시간 단위이다.
- 클럭의 "똑-딱-똑-딱" 주기, 일정한 박자에 맞춰 레지스터에서 다른 레지스터로 데이터가 이동되거나, ALU에서 연산이 수행되거나, CPU가 메모리에 저장된 명령어를 읽어 들인다.
- 컴퓨터의 모든 부품이 클럭 신호에 맞춰 작동한다.

하나의 명령어가 여러 클럭에 걸쳐 실행될 수도 있다.
- 제어장치는 해석해야 할 명령어를 받아들인다.
- CPU가 해석해야 할 명령어는 명령어 레지스터라는 특별한 레지스터에 저장된다.
- 제어장치는 이 명령어 레지스터로부터 해석할 명령어를 받아들이고 해석한 뒤, 제어 신호를 발생시켜 컴퓨터 부품들에게 수행할 내용을 알려준다.
- 제어장치는 플래그 레지스터 속 플래그 값을 받아들인다.
- 플래그는 연산 결과에 대한 추가적인 상태 정보이다. 연산 결과에 대한 부가 정보이다.
- 명령어를 해석하는 과정에서 플래그 값은 필수적이다.
- 제어장치는 플래그 값을 받아들이고, 이를 참고해 제어 신호를 발생시킨다.
- 제어장치는 시스템 버스, 그중에서 제어 버스로 전달된 제어 신호를 받아들인다.
- CPU뿐만 아니라 입출력장치를 비롯한 CPU 외부 장치도 발생시킬 수 있다.
- 제어장치는 제어 버스를 통해 외부로부터 전달된 제어 신호를 받아들이기도 한다.
제어장치가 내보내는 정보
- 제어장치가 내보내는 정보는 크게 두 가지로 나눌 수 있다.
- CPU 내부에 전달하는 제어 신호
- CPU 외부에 전달하는 제어 신호
CPU 내부에 전달하는 제어 신호
- 레지스터에 전달한다.
- 레지스터 간에 데이터를 이동시키거나, 레지스터에 저장된 명령어를 해석하기 위해
- ALU에 전달한다.
- 수행할 연산을 지시하기 위해
CPU 외부에 전달하는 제어 신호
- 메모리에 전달한다.
- 메모리에 저장된 값을 읽거나, 메모리에 새로운 값을 쓰고 싶은 경우
- 입출력장치에 전달한다.
- 입출력장치의 값을 읽거나, 입출력장치에 새로운 값을 쓰고 싶은 경우
레지스터
- 레지스터는 CPU 내부의 작은 임시 저장 장치이다.
- ALU와 제어 장치보다 프로그래머 입장에서 더 중요한 장치이다.
- 프로그램 속 명령어와 데이터는 실행 전후로 반드시 레지스터에 저장된다. 즉, 레지스터 속 값을 관찰하면 프로그램을 실행할 때 CPU 내에서 무슨 일이 일어나는지, 어떤 명령어가 어떻게 수행되는지 알 수 있다.
- CPU 내부에는 다양한 레지스터들이 존재하고, 각각 다른 역할을 가진다.
CPU 속 레지스터들은 CPU마다 이름, 크기, 종류가 매우 다양하다.
대부분의 CPU가 공통으로 포함하는 8개 레지스터에 대해서 알아보자.
반드시 알아야 할 레지스터
- 프로그램 카운터
- 명령어 레지스터
- 메모리 주소 레지스터
- 메모리 버퍼 레지스터
- 플래그 레지스터
- 범용 레지스터
- 스택 포인터
- 베이스 레지스터
프로그램 카운터
- 프로그램 카운터는 메모리에서 가져올 명령어의 주소, 즉 메모리에서 읽어 들일 명령어의 주소를 저장한다.
- 프로그램 카운터를 명령어 포인터(Instruction Pointer)라고 부르는 CPU도 있다.
명령어 레지스터
- 명령어 레지스터는 해석할 명령어, 즉 방금 메모리에서 읽어 들인 명령어를 저장한다.
- 제어장치는 명령어 레지스터 속 명령어를 받아들이고 이를 해석한 뒤에 제어 신호를 내보낸다.
메모리 주소 레지스터
- 메모리 주소 레지스터는 메모리의 주소를 저장한다.
- CPU가 읽어 들이고자 하는 주소 값을 주소 버스로 보낼 때 메모리 주소 레지스터를 거치게 된다.
메모리 버퍼 레지스터
- 메모리 버퍼 레지스터는 메모리와 주고받을 값(데이터와 명령어)을 저장한다.
- CPU가 정보를 데이터 버스로 주고받을 때 메모리 버퍼 레지스터를 거치게 된다.
- 메모리에 쓰고 싶은 값이나 메모리로부터 전달받은 값은 메모리 버퍼 레지스터를 거치게 된다.
메모리에 저장된 프로그램을 실행하는 과정에서 프로그램 카운터, 명령어 레지스터, 메모리 주소 레지스터, 메모리 버퍼 레지스터에 어떤 값들이 담기는지 예시를 통해 이해해 보자.

- CPU로 실행할 프로그램이 1000번지 ~ 1500번까지 저장되어 있고, 1000번지에는 1101(2)이 저장되어 있다고 가정하자.
- 첫 번째 명령어부터 실행한다고 가정하자.

- 프로그램 카운터에는 1000번지가 저장이 된다.
- 다음에는 1000번지에 있는 1101(2)을 실행할 거야~

- 1000번지를 읽어 들이기 위해서는 주소 버스로 1000번지를 내보내야 한다.
- 메모리 주소 레지스터에 1000이 저장된다.

- '메모리 읽기' 제어 신호와 메모리 주소 레지스터 값이 각각 제어 버스와 주소 버스를 통해 메모리로 보내진다.

- 메모리는 메모리 1000번지에 저장된 값을 데이터 버스를 통해 메모리 버퍼 레지스터로 전달한다.
- 중요!: 프로그램 카운터는 증가되어 다음 명령어를 읽어 들일 준비를 한다. (다음 실행할 애는 1001번지야~)

- 메모리 버퍼 레지스터에 저장된 값은 명령어 레지스터로 이동한다.
- 제어장치는 명령어 레지스터의 명령어를 해석하고 제어 신호를 발생시킨다.

- 프로그램 카운터 값이 증가하는 것을 확인할 수 있었다.
- 프로그램 카운터는 지속적으로 증가하여 계속해서 다음 명령어를 읽어 들일 준비를 한다.
- 이 과정이 반복되면서 CPU는 프로그램을 차례대로 실행해 나간다.
- 프로그램을 순차적으로 실행할 수 있는 원리!
일반적으로 프로그램 카운터는 꾸준히 증가하여 프로그램을 차례대로 실행한다.
하지만, 프로그램의 순차적인 실행 흐름이 끊기는 경우가 있다.
- 특정 메모리 주소로 실행 흐름을 이동하는 명령어를 실행할 경우
- 예) JUMP, CONDITIONAL JUMP, CALL, RET
- 이런 경우 프로그램 카운터에는 변경된 주소가 저장된다.
- 예) 1200번지를 실행하는 도중 JUMP 2500 명령어를 만났을 경우 1201번지가 아닌 2500번지를 실행해야 하기 때문에 프로그램 카운터에는 1201번지가 아닌 2500번지가 저장된다.
- 인터럽트가 발생할 경우
나머지 4개 레지스터에 대해서도 알아보자.
플래그 레지스터
- 플래그는 CPU가 계산한 결과에 대한 부가정보
- 플래그 레지스터는 연산 결과 또는 CPU 상태에 대한 부가적인 정보를 저장한다.

범용 레지스터
- 범용 레지스터는 이름 그대로 다양하고 일반적인 상황에서 자유롭게 사용할 수 있다.
- 범용 레지스터는 데이터와 주소를 모두 저장할 수 있다.
- 일반적으로 CPU 안에는 여러 개의 범용 레지스터들이 존재하고, 대다수 CPU들은 모두 범용 레지스터를 갖고 있다.
스택 포인터, 베이스 레지스터
- 스택 포인터와 베이스 레지스터는 주소 지정에 사용될 수 있는 특별한 레지스터이다.
특정 레지스터를 이용한 주소 지정 방식(1): 스택 주소 지정 방식
- 스택 주소 지정 방식은 스택과 스택 포인터를 이용한 주소 지정 방식이다.
- 스택 포인터는 스택의 꼭대기를 가리키는 레지스터(스택이 어디까지 차 있는지에 대한 표시)이다.
- 즉 스택에 마지막으로 저장한 값의 위치를 저장한다.

- 스택의 어디까지 채워져 있는지에 대한 표시! (4번지까지 채워져 있어~)

- 만약 하나의 데이터를 꺼내게 된다면? 스택 포인터는 5번지를 가리키게 된다.
스택은 어디에 있는 걸까?

- 스택은 메모리 안에 있다.
- 메모리 안에 스택처럼 사용할 영역이 미리 정해져 있다. 이 영역을 스택 영역이라 한다.
- 스택 영역은 다른 주소 공간과는 다르게 스택처럼 사용하기로 암묵적으로 약속된 영역
특정 레지스터를 이용한 주소 지정 방식(2): 변위 주소 지정 방식
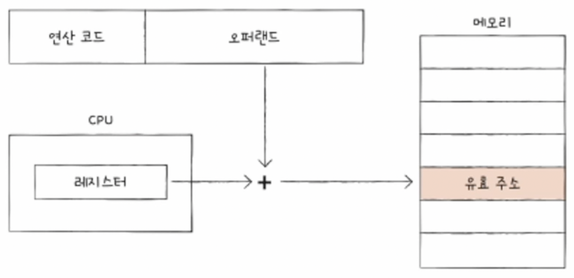
- 변위 주소 지정 방식은 오퍼랜드 필드의 값(변위)과 특정 레지스터의 값을 더하여 유효 주소를 얻어내는 주소 지정 방식이다.

- 오퍼랜드 값과 더불어 어떤 레지스터와 더할지도 명령어 안에 명시해야 한다.
- 변위 주소 지정 방식을 사용하는 명령어는 다음 그림과 같은 구조를 띄고 있다.

- 어떤 연산을 수행할지를 나타내는 연산 코드 필드
- 어떤 레지스터의 값과 더할지를 나타내는 레지스터 필드
- 주소를 담고 있는 오퍼랜드 필드
변위 주소 지정 방식은 오퍼랜드 필드의 주소와 어떤 레지스터를 더하는지에 따라 상대 주소 지정 방식, 베이스 레지스터 주소 지정 방식으로 나뉜다.
변위 주소 지정 방식은 CPU의 종류에 따라 다양한 방식들이 있다.
하지만 가장 대표적인 상대 주소 지정 방식과 베이스 레지스터 주소 지정 방식에 대해 알아보자.
상대 주소 지정 방식

- 상대 주소 지정 방식은 오퍼랜드와 프로그램 카운터의 값을 더하여 유효 주소를 얻는 방식이다.
- 프로그램 카운터에는 다음으로 읽어 들일 명령어의 주소가 저장되어 있다.
- 만약 오퍼랜드가 음수, -3이었다면 CPU는 읽어 들이기로 한 명령어로부터 3번째 이전 번지로 접근한다. (실행할 명령어-3)번지
- 만약 오퍼랜드가 양수, +3이었다면 CPU는 읽어 들이기로 한 명령어로부터 3번째 이후 번지로 접근한다. (실행할 명령어+3)번지
베이스 레지스터 주소 지정 방식

- 베이스 주소 지정 방식은 오퍼랜드와 베이스 레지스터의 값을 더하여 유효 주소를 얻는 방식이다.
- 베이스 레지스터는 기준 주소 역할을 한다. 프로그램의 시작점
- 오퍼랜드는 기준 주소로부터 떨어진 거리 역할을 한다.
- 예) 베이스 레지스터에 200이라는 값이 있고, 오퍼랜드가 50이라면 "기준 주소 200번지로부터 50번지 떨어진 코드를 실행해라"를 의미하는 명령어이다.
명령어 사이클과 인터럽트

- CPU가 하나의 명령어를 처리하는 과정에는 어떤 정해진 흐름, 주기가 있다.
- CPU는 그 흐름을 반복하며 명령어들을 처리해 나가는데, 이렇게 하나의 명령어를 처리하는 정형화된 흐름을 명령어 사이클이라 한다.
- 간혹 이 흐름이 끊어지는 상황이 발생하는데 이를 인터럽트라고 한다.
- 정말 중요한 내용이다!
명령어 사이클
- 프로그램 속 명령어들은 일정한 주기가 반복되며 실행되는데, 이 주기를 명령어 사이클이라고 한다.
- 즉, 프로그램 속 각각의 명령어들은 명령어 사이클이 반복되며 실행된다.
- CPU가 메모리에 저장된 명령어 하나를 실행한다고 가정해 보자. 가장 먼저 뭘 해야 할까?

인출 사이클
- 명령어를 메모리에서 CPU로 가져와야 한다. 명령어 사이클의 첫 번째 과정
- 메모리에 있는 명령어를 CPU로 가지고 오는 단계를 인출 사이클이라고 한다.

실행 사이클
- 갖고 왔으면 실행해야 한다.
- CPU로 가져온 명령어를 실행하는 단계를 실행 사이클이라 한다.
- 제어장치가 명령어 레지스터에 담긴 값을 해석하고, 제어 신호를 발생시키는 단계가 실행 사이클이다.

인출과 실행 사이클 반복
- 프로그램을 이루는 수많은 명령어는 일반적으로 인출과 실행 사이클을 반복하며 실행된다.
- 가져오고 실행하고, 가져오고 실행하고, 반복...
하지만 명령어를 인출하여 CPU로 가져왔다 하더라도 곧바로 실행할 수 없는 경우도 있다. 간접 주소 지정방식을 생각해 보자.

간접 주소 지정 방식
- 간접 주소 지정 방식은 오퍼랜드 필드에 유효 주소의 주소를 명시한다.
- 명령어를 실행하기 위해서는 메모리 접근을 한 번 더 해야 하기 때문에, 명령어를 인출하여 CPU로 가져왔다 하더라도 바로 실행 사이클에 돌입할 수 없다.

간접 사이클 추가
- 메모리 접근을 해야 하는 경우 간접 사이클에 돌입하게 된다.
- 어떤 명령어는 인출과 실행 사이클만으로 실행되고, 어떤 명령어는 인출, 간접, 실행 사이클을 거쳐 실행된다.
- 인터럽트가 없다면 CPU는 위 그림의 주기를 바탕으로 명령어를 실행한다.
- 하지만 우리는 인터럽트를 고려해야 한다.
인터럽트
- 인터럽트는 영어로 '방해하다, 중단시키다'를 의미한다.
- 인터럽트는 CPU의 작업을 방해하는 신호이다.
- CPU는 언제 발생할까?
- 'CPU가 꼭 주목해야 할 때'
- 'CPU가 얼른 처리해야 할 다른 작업이 생겼을 때'
- 예시) "이거 급하니까 하던 일 멈추고 이것부터 처리해 줘~"
- 인터럽트의 종류에는 동기 인터럽트(예외)와 비동기 인터럽트(하드웨어 인터럽트)가 있다.

인터럽트의 종류
동기 인터럽트(예외)
- 동기 인터럽트는 CPU에 의해 발생하는 인터럽트이다.
- CPU가 명령어들을 수행하다가 예상치 못한 상황에 마주쳤을 때 발생하는 인터럽트이다. 프로그래밍상의 오류와 같은 예외적인 상황
- 예시) 실행할 수 없는 명령어가 있을 경우

예외적인 상황

동기 인터럽트의 종류에는 폴트, 트랩, 중단, 소프트웨어 인터럽트가 있다.
비동기 인터럽트(하드웨어 인터럽트)
- 비동기 인터럽트는 주로 입출력장치에 의해 발생하는 인터럽트이다.
- 입출력장치에 의한 비동기 인터럽트는 세탁기 완료 알림, 전자레인지 조리 완료 알림과 같은 알림 역할을 한다.
- CPU가 프린터와 같은 입출력장치에 입출력 작업을 부탁하면 작업을 끝낸 입출력장치가 CPU에 완료 알림(인터럽트)을 보낸다.

완료 알림
- 키보드, 마우스와 같은 입출력장치가 어떠한 입력을 받아들였을 때 이를 처리하기 위해 CPU에 입력 알림(인터럽트)을 보낸다.

입력 알림
참고: 일반적으로 비동기 인터럽트를 인터럽트라 칭하기도 한다.
여기서는 용어의 혼동을 방지하기 위해 하드웨어 인터럽트라는 용어를 사용
하드웨어 인터럽트
- 하드웨어 인터럽트는 알림과 같은 인터럽트이다.
- CPU는 입출력 작업 도중에도 효율적으로 명령어를 처리하기 위해 하드웨어 인터럽트를 사용한다.
명령어를 효율적으로 처리하는 것과 하드웨어 인터럽트가 무슨 상관이 있는 걸까?
CPU가 프린터에 출력을 명령했다고 가정해 보자.

인터럽트가 없을 경우 지속적으로 완료 여부를 확인해야 한다.
- 입출력장치는 CPU보다 속도가 현저히 느리다.
- 만약 하드웨어 인터럽트를 사용하지 않는다면, CPU는 프린터가 언제 프린트를 끝낼지 모르기 때문에 주기적으로 프린터의 완료 여부를 확인해야 한다. 다른 생산적인 일을 할 수 없어 CPU 사이클 낭비이다.
- 만약 하드웨어 인터럽트를 사용한다면, CPU는 주기적으로 프린터의 완료 여부를 확인할 필요가 없어 프린터로부터 완료 인터럽트를 받을 때까지 다른 작업을 처리할 수 있다.

인터럽트가 있을 경우 입출력 작업 동안 다른 작업을 할 수 있다.
하드웨어 인터럽트 처리 순서
- 여러 종류의 인터럽트가 있지만, CPU가 인터럽트를 처리하는 방식은 종류를 막론하고 대동소이하다.
- 하드웨어 인터럽트 처리 순서
- 입출력장치는 CPU에 인터럽트 요청 신호를 보낸다.
- CPU는 실행 사이클이 끝나고 명령어를 인출하기 전 항상 인터럽트 여부를 확인한다.
- CPU는 인터럽트 요청을 확인하고 인터럽트 플래그를 통해 현재 인터럽트를 받아들일 수 있는지 여부를 확인한다.
- 인터럽트를 받아들일 수 있다면 CPU는 지금까지의 작업을 백업한다.
- CPU는 인터럽트 벡터를 참조하여 인터럽트 서비스 루틴을 실행한다.
- 인터럽트 서비스 루틴 실행이 끝나면 백업해 둔 작업을 복구하여 실행을 재개한다.
인터럽트 요청 신호
- 인터럽트 요청 신호는 하드웨어 인터럽트를 보내는 주체들이(입출력 장치) CPU에게 "지금 끼어들어도 되나요?"라고 요청을 보내는 신호이다.
- 인터럽트는 CPU의 정상적인 실행 흐름을 끊는 것이기 때문에 인터럽트 하기 전에 인터럽트 요청 신호를 보내야 한다.

인터럽트 하기 전 인터럽트 요청 신호를 보낸다
인터럽트 플래그
- CPU가 인터럽트 요청을 받아들이려면 플래그 레지스터의 인터럽트 플래그가 활성화되어있어야 한다.
- 인터럽트 플래그는 하드웨어 인터럽트를 받아들일지, 무시할지를 결정하는 플래그이다.

인터럽트 플래그
- 만약 인터럽트 플래그가 '불가능'으로 설정되어 있다면 CPU는 인터럽트 요청이 오더라도 해당 요청을 무시한다. CPU가 중요한 작업을 처리해야 하거나 어떤 방해도 받지 않아야 할 때
- 만약 인터럽트 플래그가 '가능'으로 설정되어 있다면 CPU는 인터럽트 요청 신호를 받아들이고 인터럽트를 처리한다.
주의!: 다만, 모든 하드웨어 인터럽트를 인터럽트 플래그로 막을 수 있는 것은 아니다.
가장 우선수위가 높은, 반드시 가장 먼저 처리해야 하는 인터럽트들이 있다.
예시) 정전과 하드웨어 고장으로 인한 인터럽트와 같이 정말 긴급한 상황, 피치 못한 상황

- 하드웨어 인터럽트에는 인터럽트 플래그로 막을 수 있는 인터럽트(maskable Interrupt)와 막을 수 없는 인터럽트(non maskable interrupt)가 있다.
인터럽트 서비스 루틴
- CPU가 인터럽트를 받아들이기로 했으면 인터럽트 서비스 루틴을 실행한다.
- 인터럽트 서비스 루틴은 어떤 인터럽트가 발생했을 때 해당 인터럽트를 어떻게 처리하고 작동해야 할지에 대한 정보로 이루어진 프로그램이다.
- 예시) "키보드, 마우스가 인터럽트 요청을 보내면 이렇게 행동해야 한다"
- 인터럽트 핸들러라고도 부른다.

여러 개의 인터럽트 서비스 루틴
- 인터럽트 서비스 루틴 또한 프로그램이기 때문에 일반적으로 메모리에 저장되어 있다
- 인터럽트를 처리하는 방법은 입출력장치마다 다르므로 각기 다른 인터럽트 서비스 루틴을 가지고 있다.
- 즉, 인터럽트를 보내는 주체에 따라서 각기 다른 인터럽트 서비스 루틴의 시작 주소를 가지고 있다.
- 이들 하나하나가 '인터럽트가 발생하면 어떻게 행동해야 할지를 알려주는 프로그램'이다.

- 만약 인터럽트가 없이 실행할 경우
- 실행 증인 프로그램을 쭉~ 실행하면 된다. 정상적으로 작업을 진행하면 된다.
- 만약 실행 도중 인터럽트가 발생할 경우
- 정상적으로 작업을 진행
- 인터럽트 발생
- 인터럽트 서비스 루틴으로 점프
- 인터럽트 서비스 루틴 실행
- 기존 작업으로 점프
- 기존 작업 수행 재개
인터럽트를 보낼 수 있는 주체가 여러 개가 있다. 예시) 키보드, 마우스, 프린터 등등..
각기 다른 인터럽트 서비스 루틴 주소를 가지고 있다. 즉, 인터럽트마다 고유한 인터럽트 서비스 루틴의 시작 주소를 가지고 있다.
CPU는 각기 다른 인터럽트 서비스 루틴을 어떻게 구분할까?
CPU는 수많은 인터럽트 서비스 루틴을 구분하기 위해 인터럽트 벡터를 이용한다.
인터럽트 벡터

인터럽트 벡터 이용
- 인터럽트를 보낼 수 있는 주체에 따라서 인터럽트 서비스 루틴의 시작 주소가 달라질 수 있다.
- 인터럽트 벡터는 인터럽트 서비스 루틴을 구분하기 위한 정보이다.
- 인터럽트 벡터를 이용하면 인터럽트 서비스 루틴의 시작 주소를 알 수 있기 때문에 CPU는 인터럽트 벡터를 통해 특정 인터럽트 서비스 루틴을 처음부터 실행할 수 있다.
참고: CPU는 하드웨어 인터럽트 요청을 보낸 대상으로부터 데이터 버스를 통해 인터럽트 벡터를 전달받는다.
즉, 인터럽트를 보내는 주체는 인터럽트 요청 신호와 함께 인터럽트 벡터도 데이터 버스를 통해 전달한다.
정리
- 'CPU가 인터럽트를 처리한다'는 말은 '인터럽트 서비스 루틴을 실행하고, 본래 수행하던 작업으로 다시 되돌아온다'는 말과 같다.
- 그리고 인터럽트의 시작 주소는 인터럽트 벡터를 통해 알 수 있다.
인터럽트 서비스 루틴은 여느 프로그램과 마찬가지로 명령어와 데이터로 이루어져 있다.
따라서 인터럽트 서비스 루틴도 프로그램 카운터를 비롯한 레지스터들을 사용하며 실행된다.
그럼, 인터럽트가 발생하기 전까지 레지스터에 저장되어 있었던 값들은 어떻게 할까?
다음 그림을 보자.

- CPU의 프로그램 카운터에 1500이 저장되어 있고, 레지스터에는 값들이 저장되어 있다.
- 하드웨어 인터럽트가 발생하여 10번지에 있는 인터럽트 서비스 루틴을 실행해야 한다고 가정하면, 프로그램 카운터에 저장되어 있던 1500을 그냥 10으로 덮고, 레지스터 값들을 버려도 될까?
- 그렇지 않다. CPU가 수행하고 있었던 일은 인터럽트 서비스 루틴이 끝나면 되돌아와서 마저 수행을 해야 한다.
- 지금까지의 작업 내역들을 어디 간에 백업해둬야 한다.
- 예시) 현재 레지스터에는 어떤 값들이 담겨 있는지, 현재 CPU는 어떤 상태인지 다 기억되어 있어야 한다.

스택에 백업한다 .
- 따라서, CPU는 인터럽트 서비스 루틴을 실행하기 전에 프로그램 카운터 값, 레지스터에 담긴 값 등 현재 프로그램을 재개하기 위해 필요한 모든 내용을 스택에 백업한다.
- 인터럽트 서비스 루틴을 실행하기 위한 정보들이 레지스터에 담기게 되고, 인터럽트 서비스 루틴의 시작 주소가 위치한 곳으로 프로그램 카운터 값을 갱신한다. 그 후 인터럽트 서비스 루틴을 실행한다.
- 인터럽트 서비스 루틴을 모두 실행하면, 다시 말해 인터럽트를 처리하고 나면 스택에 저장해 둔 값을 다시 불러온 뒤 이전까지 수행했던 작업을 재개한다.
정리
- 인터럽트 요청 신호: CPU의 작업을 방해하는 인터럽트에 대한 요청
- 인터럽트 플래그: 인터럽트 요청 신호를 받아들일지 무시할지를 결정하는 비트
- 인터럽트 벡터: 인터럽트 서비스 루틴의 시작 주소를 포함하는 인터럽트 서비스 루틴의 식별 정보
- 인터럽트 서비스 루틴: 인터럽트를 처리하는 프로그램
명령어 사이클

인터럽트 사이클이 추가된 명령어 사이클
- 명령어 사이클은 인출, 실행, 간접, 인터럽트 사이클로 구성되어 있다.
- CPU는 메모리에 있는 프로그램을 정형화된 흐름, 명령어 사이클에 따라서 처리한다.
출처:

'Hardware > etc' 카테고리의 다른 글
| 메인보드 제조사별 USB 부팅 메뉴 진입 키 방법 (0) | 2025.04.18 |
|---|---|
| CPU GPU 서멀 그리스를 도포 방법 및 서멀구리스 원리 (0) | 2025.04.17 |
| 컴퓨터 구조 - 보조기억장치 (0) | 2025.03.15 |
| 컴퓨터 구조 - 컴퓨터 입출력 장치 (0) | 2025.03.15 |
| 컴퓨터 구조 - 메모리 memory 와 캐시 메모리 cache memory (0) | 2025.03.15 |